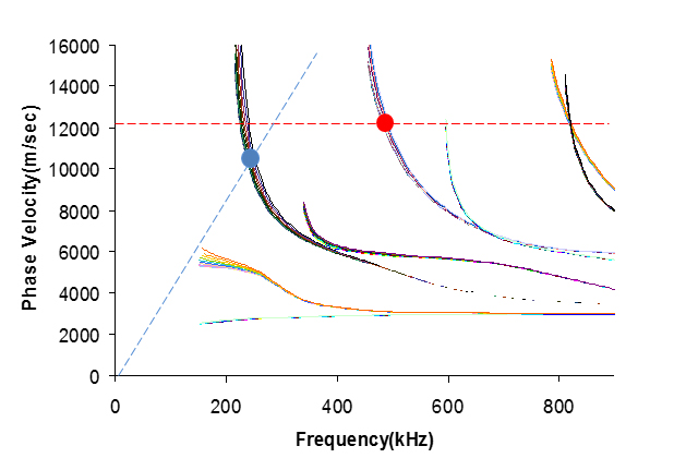
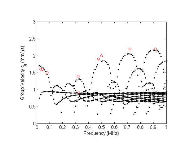
Guidedwave is a world leader in ultrasonic guided wave mechanics, dispersion curve calculations, and signal processing related to guided waves. In fact, we literally wrote the book on guided waves. Some of the world’s leading experts in the field of ultrasonic guided wave theory, systems, and applications are employed at Guidedwave, including the company’s President, Dr. Joseph Rose. Guidedwave has performed theoretical analysis work for dozens of projects with applications ranging from guided wave propagation in pipelines to advanced guided wave focusing algorithms for microdamage detection in composites using nonlinear guided waves. Services such as dispersion curve development, sensor design, signal processing algorithm development, and materials characterization are all offered by Guidedwave under our consulting services. We also offer finite element modeling and custom product development services. Contact a Guidedwave engineer today to discuss your applications or questions.







